Trang thông tin tổng hợp
Trang thông tin tổng hợp

chính tả

Fe3O4 + H2 → Fe + H2O | Fe3O4 ra Fe

Fe3O4 + H2 → Fe + H2O | Fe3O4 ra Fe

19:02 29/11/2025

Phản ứng Fe3O4 + H2 hay Fe3O4 ra Fe thuộc loại phản ứng oxi hóa khử đã được cân bằng chính xác và chi tiết nhất. Bên cạnh đó là một số bài tập có liên quan về Fe3O4 có...

Phân tích vai trò của quá trình hô hấp đối với thực vật

Phân tích vai trò của quá trình hô hấp đối với thực vật

18:55 29/11/2025

Vất Đi Hay Vứt Đi: Giải Mã Sự Khác Biệt Từ Ngữ Trong Tiếng Việt

Vất Đi Hay Vứt Đi: Giải Mã Sự Khác Biệt Từ Ngữ Trong Tiếng Việt

18:45 29/11/2025

Nguyên hàm từng phần là gì? Tổng hợp công thức tính từ cơ bản đến nâng cao đầy đủ nhất

Nguyên hàm từng phần là gì? Tổng hợp công thức tính từ cơ bản đến nâng cao đầy đủ nhất

Nguyên hàm là gì? Nguyên hàm từng phần là gì? Trong toán học, cụ thể là môn giải tích (Hay còn được gọi là đại số), một nguyên hàm của một hàm số thực cho trước f là một hàm...

18:41 29/11/2025

Latte là gì. Latte chứng tỏ đẳng cấp của một barista

Latte là gì. Latte chứng tỏ đẳng cấp của một barista

Latte là gì, nếu dịch sang nhiều thứ tiếng có lẽ cụm từ này đang được rất nhiều người tìm hiểu, riêng ở việt nam hiện nay theo google thông kê số lượng trung bình cũng đến vài trăm người...

18:25 29/11/2025

Optimizing Long-Term Potato Storage with Ethylene Measurement

Optimizing Long-Term Potato Storage with Ethylene Measurement

Cold storage facilities aiming to reduce ethylene production and respiration rates in potatoes require considerable power consumption for cooling and ventilation. Lowering power consumption has become a major goal to bring down the costs of storage. A group of scientists...

18:21 29/11/2025

"Sốt Sắng" hay "Xốt Xắng " mới đúng, ý nghĩa của nó

"Sốt Sắng" hay "Xốt Xắng " mới đúng, ý nghĩa của nó

Liệu cách viết sốt sắng hay xốt xắng mới đúng? Ý nghĩa của nó là gì? Hãy cùng studytienganh giải đáp thắc mắc trong bài viết dưới đây nhé! 1. Từ nào đúng chính tả ...

17:34 29/11/2025

Nổ lực hay nỗ lực là đúng chính tả?

Nổ lực hay nỗ lực là đúng chính tả?

Nổ lực hay nỗ lực là đúng chính tả? 2 từ này liệu có khác nhau hay chúng là một? Từ nào là đúng chính tả, cách viết nào đúng. Mời các bạn cùng tìm hiểu các cách phân biệt...

17:16 29/11/2025

Trung thực là gì? Sống trung thực có thật sự tốt và ý nghĩa

Trung thực là gì? Sống trung thực có thật sự tốt và ý nghĩa

Trung thực là đức tính mà ta đã được ông bà, cha mẹ dạy từ thời thơ ấu. Nhưng với nhịp sống xô bồ của xã hội ngày nay thì liệu đức tính ấy có còn được lưu truyền như...

17:12 29/11/2025

BTS Debut - Ngày Nào Là Bước Đi Đầu Tiên?

BTS Debut - Ngày Nào Là Bước Đi Đầu Tiên?

Đối với các fan trẻ yêu thích Kpop, BTS không chỉ là cái tên quen thuộc mà còn là nguồn cảm hứng toàn cầu. Trong bài viết này, chúng ta sẽ khám phá ngày thành lập và ngày debut của...

17:08 29/11/2025

Bài 2: Chùm Ca Dao Về Quê Hương Đất Nước

Bài 2: Chùm Ca Dao Về Quê Hương Đất Nước

I. Trước khi đọcVí dụ: Với em, Thái Bình là quê hương yêu dấu. Quê hương là những gì gần gũi, thân thuộc, thiêng liêng nhất với mỗi chúng ta; là cây đa, bến nước, sân đình, là con đường...

16:53 29/11/2025

ESPN NBA Basketball (video game)

ESPN NBA Basketball (video game)

ESPN NBA BasketballDeveloperVisual ConceptsPublisherSegaSeriesNBA 2KPlatformsPlayStation 2, XboxReleaseGenreSportsModesSingle-player, multiplayer ESPN NBA Basketball (alternatively known as NBA 2K4, and sometimes mislabeled as ESPN NBA Basketball 2K4[1]) is a 2003 basketball simulation video game developed by Visual Concepts and published by Sega. It...

16:45 29/11/2025

Người sinh năm 1982 tuổi gì? Tử vi chi tiết tuổi 1982

Người sinh năm 1982 tuổi gì? Tử vi chi tiết tuổi 1982

1. Năm 1982 tuổi gì? Sinh năm 1982 bao nhiêu tuổi? Phong thủy tuổi 1982 - 2042 chi tiết Người sinh năm 1982 âm lịch thuộc năm Nhâm Tuất, có ngày sinh tính từ 25/01/1982 đến hết ngày 12/02/1983 dương...

16:20 29/11/2025

(2.45) Vụ kiện [Larry P. v. Riles] là gì?  Nguồn gốc của vụ kiện này?

(2.45) Vụ kiện [Larry P. v. Riles] là gì? Nguồn gốc của vụ kiện này?

Vụ kiện [Larry P. V. Riles (Larry P.)] được nộp đơn vào năm 1971 khi năm trẻ em người Mỹ gốc Phi được xếp vào các lớp giáo dục đặc biệt dành cho “người chậm phát triển tâm thần giáo...

16:16 29/11/2025

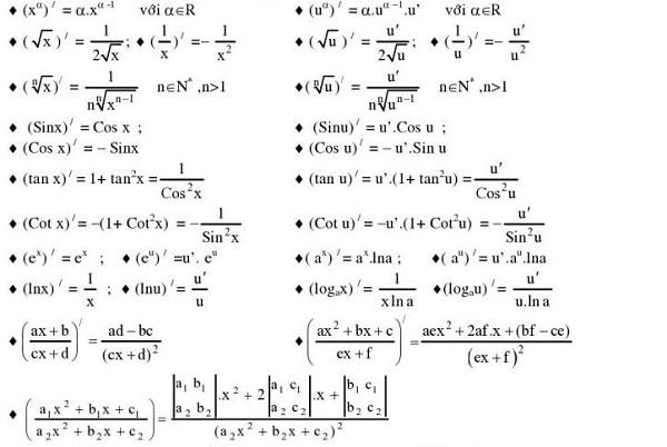
Đạo Hàm Của Hàm Số Lượng Giác: Lý Thuyết, Bảng Công Thức Và Bài Tập

Đạo Hàm Của Hàm Số Lượng Giác: Lý Thuyết, Bảng Công Thức Và Bài Tập

1. Lý thuyết đạo hàm của hàm số lượng giác 1.1. Đạo hàm là gì? Trong giải tích toán học, đạo hàm của một hàm số là sự mô tả sự biến thiên của hàm số tại một...

16:14 29/11/2025

Dội nước hay giội nước là đúng chính tả?

Dội nước hay giội nước là đúng chính tả?

Trong tiếng việt rất nhiều người mơ hồ, nhầm lẫn giữa từ “d” và “gi”. Vậy, từ dội nước hay giội nước mới viết đúng. Cảnh sát chính tả Văn VN sẽ giúp bạn giải đáp thắc mắc này. Dội...

15:30 29/11/2025

  • ‹
  • 1
  • 2
  • ...
  • 357
  • 358
  • 359
  • ...
  • 527
  • 528
  • ›
  • Điều khoản sử dụng
  • Chính sách bảo mật
  • Cookies
  • RSS
  • Điều khoản sử dụng
  • Chính sách bảo mật
  • Cookies
  • RSS

Trang thông tin tổng hợp hnou

Website hnou là blog chia sẻ vui về đời sống ở nhiều chủ đề khác nhau giúp cho mọi người dễ dàng cập nhật kiến thức. Đặc biệt có tiêu điểm quan trọng cho các bạn trẻ hiện nay.

© 2026 - hnou

Kết nối với hnou

thời tiết hà nội
Đăng ký / Đăng nhập
Quên mật khẩu?
Chưa có tài khoản? Đăng ký