Giàn Giáo hay Dàn Giáo - Khái niệm nào là đúng
Trong cách viết chỉnh tả chúng ta thường thường xuyên mắc lỗi hoặc nhầm lẫn không biết sử dụng "Gi" hay "D" cho đúng. Cách phát âm thì giống nhau nên không biết khi nào thì dùng "gi" và khi...
Bài 10.6 trang 100 Toán 9 Tập 2 | Kết nối tri thức Giải Toán 9
Giải Toán 9 Bài 31: Hình trụ và hình nón - Kết nối tri thức Bài 10.6 trang 100 Toán 9 Tập 2: Tính thể tích của hình tạo thành khi cho hình ABCD quay quanh AD một vòng (H.10.17)....
Xâu cá, cái giỏ hay cái cần câu
Thế nhưng hàng ngàn ngàn tỷ đồng đầu tư đang tập trung chủ yếu vào những xâu cá hay những chiếc giỏ, còn những chiếc cần câu có đầu tư, nhưng thiếu hướng dẫn cách câu.Nhìn vào hạ tầng kinh...
Few, a Few—What’s the Difference?
Few is a quantifier used with plural countable nouns. Without the article “a,” few emphasizes a small number of something. Adding the article removes the emphasis—a few means some. The same rule applies to little, which is used with singular...
Em hãy nêu cấu tạo tính năng tác dụng của kíp thường nụ xuỳ và dây cháy chậm
Giải Giáo dục quốc phòng 11 Bài 6: Giới thiệu một số loại súng bộ binh, thuốc nổ, vật cản và vũ khí tự tạo - Cánh diều Khám phá 9 trang 46 GDQP 11: Em hãy nêu cấu tạo,...
Cách xác định vị trí cường độ điện trường bằng 0 (hay, chi tiết)
Bài viết Cách xác định vị trí cường độ điện trường bằng 0 với phương pháp giải chi tiết giúp học sinh ôn tập, biết cách làm bài tập Cách xác định vị trí cường độ điện trường bằng 0....
Phân tích khổ 2 và 3 bài thơ Mùa xuân nho nhỏ (Sơ đồ tư duy) 4 Dàn ý & 15 mẫu phân tích khổ 2, 3 Mùa xuân nho nhỏ
TOP 15 bài Phân tích khổ 2, 3 Mùa xuân nho nhỏ hay nhất, kèm theo 4 dàn ý chi tiết và sơ đồ tư duy, giúp các em học sinh lớp 9 cảm nhận được rõ nét cảm xúc...
Ý nghĩa của hoa sen theo màu sắc
Nhắc đến những loài hoa đẹp của Việt Nam, không thể không nhắc đến hoa sen. Loài hoa thanh tao, mọc lên từ bùn lầy nhưng vẫn giữ được vẻ đẹp tinh khiết ấy đã trở thành biểu tượng cho...
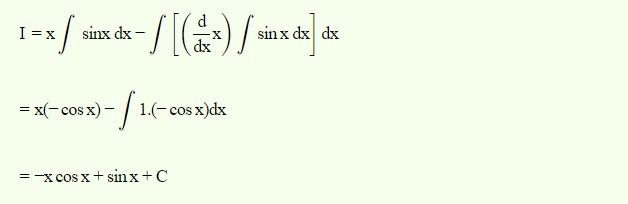
Công thức tính nguyên hàm từng phần và cách giải bài tập
1. Lý thuyết nguyên hàm từng phần 1.1. Khái niệm nguyên hàm từng phần Nguyên hàm từng phần chính là phương pháp giải các dạng bài toán 12 nguyên hàm. Khi cho hai hàm số u = u(x), v =...
Lời giải Tiếng Anh lớp 11 Unit 4 Reading Global Success: ASEAN News
Phần Reading Unit 4 trong Tiếng Anh 11 sách Global Success tập trung vào chủ đề ASEAN news (Tin tức ASEAN), giúp học sinh hiểu rõ hơn về các hoạt động, chương trình và sự kiện quan trọng trong khu...
Soạn bài Lao xao ngày hè - Ngắn nhất Chân trời sáng tạo
Soạn bài Lao xao ngày hè ngắn nhất mà vẫn đủ ý được biên soạn bám sát sách Ngữ văn lớp 6 Chân trời sáng tạo giúp học sinh soạn văn 6 dễ dàng hơn. Soạn bài Lao xao ngày...
Soạn bài Vừa nhắm mắt vừa mở cửa sổ - Ngắn nhất Kết nối tri thức
Soạn bài Vừa nhắm mắt vừa mở cửa sổ ngắn nhất mà vẫn đủ ý được biên soạn bám sát sách Ngữ văn lớp 7 Kết nối tri thức giúp học sinh soạn văn 7 dễ dàng hơn. Soạn bài...
Lụt Nghề Hay Lục Nghề: Cách Khắc Phục Và Phát Triển Kỹ Năng Hiệu Quả
Trong tiếng Việt, hai cụm từ "lụt nghề" và "lục nghề" đều được sử dụng để chỉ tình trạng suy giảm kỹ năng hoặc không còn giữ vững phong độ trong nghề nghiệp. Tuy nhiên, từ "lụt nghề" phổ biến...
Khăn trải giường
Một tấm ra giường màu xanh Khăn trải giường, Ga trải giường hoặc Ra trải giường (từ chữ drap trong tiếng Pháp) là một tấm vải dùng để bao phủ lên bề mặt của một tấm đệm dùng để nằm...